
如何用贝叶斯高斯张量分解修复缺失数据?(Jupyter notebook - Python)

KarlyShop import スリップ キャミソール セクシー姫系 ワンピース ネグリジェ エレガント サテン ベビードール ペチコート 大きいサイズ 春夏秋冬 MLXL3L su960

事例農業・地域振興を目指して。GIS や多変量解析を空間情報学科の生徒が援用概要研究対象地区について研究の方法と解析フィールドワークの結果まとめと課題

ノースリーブ ニット レディース トップス リブニット 深い vネック セクシー サマーニット カシュクール リブ編み 着痩せ 胸元 ショート丈 ダンス きれいめ 細見え 無地ピンク パープル…

混合ガウスモデル (Gaussian Mixture Model, GMM)~クラスタリングだけでなく、データセットの確率密度分布を得るにも重宝します~

心拍ゆらぎの非定常解析非定常ゆらぎモデルに基づく解析法 - CGSA法モデルを仮定しない解析法 - 時間−周波数分布 About this document ...

【MATLAB】ウィグナーヴィレ分布を手実装するMATLAB実装から逃げるなウィグナーヴィレ分布おさらいSignal Kernelウィグナーヴィレ分布の導出チャープ信号のウィグナーヴィレ分布複数信号のウィグナーヴィレ分布matlab標準のwvdの結果まとめ

【20%OFFクーポン有】セクシーランジェリー 超過激 穴あき 大きいサイズ セクシー ランジェリー 過激 ベビードール セクシー下着 エロ下着 ランジェリー ルームウェア 股割れ XL 2L…

如何用贝叶斯高斯张量分解修复缺失数据?(Jupyter notebook - Python)

【最大20%OFFクーポン】セクシー下着 大きいサイズ ブラジャー y2バックストリング魅せる谷間Wワイヤーブラ&ショーツセットブラ ショーツ ブラジャー 大きいサイズ E70 E75 E80…

変分推論:ガウス混合モデル 最適化問題としての変分推論ガウス混合モデルの変分推論上記のアルゴリズムの実際のデータセットへの実装

【20%OFFクーポン有】マイクロビキニ マイクロ ビキニ セクシーランジェリー 超過激 セクシービキニ 極小ビキニ セクシー コスプレ セクシーランジェリー 水着 セクシー 可愛い コスチューム…

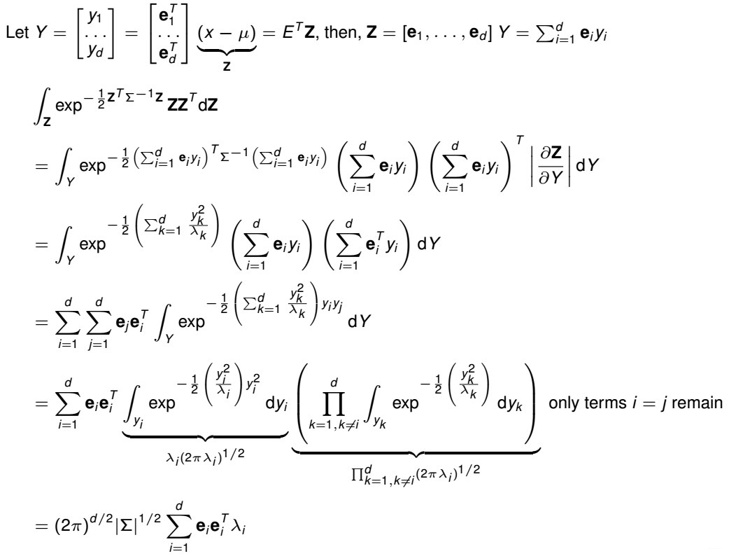
统计特性和概率估计-1 (数学推导与证明)1. 概率&估计-Probabilistic & Estimation

The Wishart and inverse-wishart distribution The Wishart and inverse-wishart distribution

ブラ ショーツ セット 丸見えブラ 「S M Lサイズ丸見え悩殺SEXYフルバスト オープンブラ & 穴あきショーツセット お花のレース」セクシー ランジェリー 下着 ハーフカップ オープンバスト…

【MAX20%OFFクーポン】ブラジャー ショーツ セット プリンセスバスト 超盛ブラ(R) ブラジャー&ショーツ(下着 レディース 盛れる ブラ 女性 ブラショーツ…

セクシー ランジェリー ブラ ショーツ セット オープン 穴あき エロ 下着 過激 マンホールブラ ノンワイヤーブラ セクシーランジェリ セクシ-ランジェリー 超過激 紐 大人 女性 レディース…

レディース ノースリーブ スリム ワンピース ファスナー ミニ スカート ドレス 胸元 タイト 無地 タイト フィット セクシー リブ ストレッチ Vネック ジッパー 送料無料

中国人口密集分界线_中国人口密度突变分界线变化轨迹图.图中可见,中国人口

【MAX20%OFFクーポン】ブラジャー ショーツ セット 盛り Lace ソフト超盛ブラ(R) ブラジャー&ショーツ (女性 下着 レディース ブラショーツ 小胸 超盛ブラ 盛りブラ…

【20%OFFクーポン有】セクシーランジェリー 大きいサイズ ブラ ショーツ 穴あき オープンブラ XL 3L 4L 超過激 セクシーランジェリー セクシー下着 エロ下着 ランジェリー 穴あき下着…

【20%OFFクーポン有】セクシーランジェリー 大きいサイズ セクシーランジェリー 過激 セクシーランジェリー ベビードール セクシー下着 エロ下着 ランジェリー ベビードールランジェリー…

【20%OFFクーポン有】ベビードール セクシーランジェリー セット セクシー ランジェリー レディース ベビードール キャミソール 超過激 可愛い ベビードール 大きいサイズ ベビードール…