
【期間限定★20,000円OFFクーポン+P5倍!】 電動自転車 a01 折りたたみ 電動アシスト自転車 erway 自転車 電気自転車 パワフル 5段階アシスト搭載 20インチ 7段変速…

【無料★特典付】 【特別価格】水受けセット ユニソン スプレスタンド60ソリッド 蛇口1個セット+ステンレスパン 蛇口付き立水栓 水栓柱&ガーデンパン 組合せセット 4カラー 1口水栓柱…

f:id:enakai00:20180614112529p:image:w400

【楽天倉庫出荷/年末年始も出荷】 ガスコンロ リンナイ ガステーブル パールクリスタル ホワイト 白 59cm 両面焼きグリル プロパン 都市ガス 据置型ガスコンロ 2口 ココットプレート同梱…

【インタビュー】H.E.A.T、「凄くハードな曲もあればメロウな曲もある」

H.E.A.Tのヨナ・ティーが元バンドメイトのエリック・グロンウォールと組んだパワー・メタル・プロジェクトNEW HORIZONがデビュー・シングルをリリース!

【期間限定★35,000円OFFクーポン+P5倍!】 サスペンション搭載 型式認定済 電動自転車 免許不要 130km走行可能 a02 折りたたみ 電動アシスト自転車 20インチ 自転車…

量子もつれ 〜アインシュタインも「不気味」と言い放った怪現象:踊るバズワード 〜Behind the Buzzword(5)量子コンピュータ(5)(5/9 ページ)

バレンタイン ギフト プレゼント 2026 百貨店で人気 お菓子 【パティスリーキハチ 公式】 人気 おしゃれ 高級 ギフト ランキング 洋菓子 内祝い お返し キハチ 焼き菓子 焼菓子…

絶対値と不等式の基本|看護受験の必須 数学の公式を確認テスト : vol19

スキッド・ロウ、数年前からエリック・グロンウォールに白羽の矢を立てていた

至急!(2)の不等式の解き方が解説を読んでもわかりません。どなたか解説お願いいたします。

【楽天1位!5年保証】シーリングライト 照明器具 LED 調光調色 おしゃれ 電気 北欧 照明 6畳 8畳 10畳 12畳 14畳 リモコン付き LED対応 インテリア 間接照明 天井照明…

ペーパーポット ティッシュケース おしゃれ トイレットペーパー 対応 ティッシュホルダー ティッシュカバー かわいい 丸型 ボックスティッシュ対応 Aicollection アイコレクション…

期間値引クーポンあり ドレッサー おしゃれ 女優ミラー《自社製品》可愛い デスク 欧風 鏡台 お姫系 ベロア調 テーブル 幅80cm 幅60cm 幅100cm チェスト スツール LEDミラー…

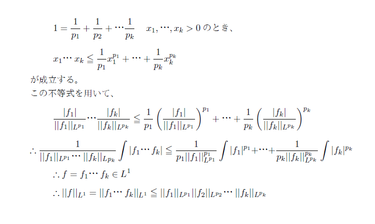
ヘルダーの不等式の一般化
現在ヘルダーの不等式を一般化したものの証明を考えていたのですが、
1< p1,・・・,p,k < ∞
のとき、画像のような手順で証明しても大丈夫なんでしょうか? 色んな文献を読んだのですが、どの本も数学的帰納法で証明していたので、この方法は何か間違いがあるのではないかと勘繰ってしまいます。
もし間違いがあるなら、教えていただきたいです。

お年賀 お菓子 ギフト スイーツ クッキー 詰め合わせ 高級 おしゃれ 誕生日プレゼント 個包装 がらんの小石 30個入 お取り寄せスイーツ プチギフト 焼き菓子 出産祝い 内祝い お返し…

【納期お問合せ下さい】 UNISON ガーデンシンク バル 立水栓 バルスタンド トールポット 上下蛇口 セット BARU 水栓柱 ユニソン 補助蛇口 ホース用 2口 ガーデンポット サテン…

数学入試問題
「不等式の表す領域」タグアーカイブ 18年 北海道大 理 4

【20%OFFクーポン!LINE追加で今すぐ使える☆】 iphone16 ケース iphone15 ケース スマホケース カード iphone14 ケース iphone13 ケース…

応接セット 4点セット 4人 応接 ソファ 椅子 応接テーブル ソファセット 応接室 おしゃれ モダン 会議セット 商談 オフィス コンパクト シャルマン SA681-2-T13S

眩しくない 鯖江 夜間 運転 サングラス 運転用 調光サングラス レディース ネオコントラスト 調光 ナイト おしゃれ ボストン メガネ メラニン uvカット 白内障 術後 保護メガネ ネオグラス…