
【ふるさと納税】LDC自然の恵み天然水2L 単品1回・定期便 3回または6回 合計 6〜144本 さわやかな飲み心地のやさしい軟水 F7Z-415var
![Yahoo!知恵袋確率論のマルチンゲールについて。
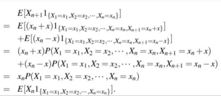
マルチンゲールの例について、下の画像の公平な賭けというのがあるのですが、「F_n = σ(X_1, X_2,...,X_n)とすればE[X_n+1|F_n] = X_nだから」の部分がな](https://chie-pctr.c.yimg.jp/dk/iwiz-chie/ans-529777515?w=320&h=320&up=0)
Yahoo!知恵袋確率論のマルチンゲールについて。
マルチンゲールの例について、下の画像の公平な賭けというのがあるのですが、「F_n = σ(X_1, X_2,...,X_n)とすればE[X_n+1|F_n] = X_nだから」の部分がな

【ふるさと納税】 【定期便】 い・ろ・は・す 天然水 2L 12本 選べる 定期便 3ヶ月 6ヶ月 12ヶ月 北杜市白州産 水 飲料 ミネラルウォーター コカ・コーラ いろはす ペットボトル 防災…

ツツミ PMII マルチン氏型人体測定器 フルセット 日本製 TTM|hakaronet

【ふるさと納税】水 定期便 サントリー天然水 1箱×6ヶ月 奥大山 ミネラルウォーター 6回 SUNTORY 軟水 550ml PET 0656

【ふるさと納税】水 2L 【定期便 あり】嬬恋の 天然水 ラベルレス ボトル 2L × 10本 入× 1~3箱 【 年内お届け 12/21入金確認分まで ( 月指定便 ・ 定期便 除く)】 毎月…

働きたくないので、資産運用をしています。 マルチンゲールの法則なんて凡人には無理ですぜぃ!

【ふるさと納税】 いろはす 北海道限定 ラベル 【 選べる 本数 お届け回数 】 540ml PET 24本 48本 定期便 単品 2ヶ月 3ヶ月 い・ろ・は・す 1箱 2箱 白旗山…

教育系YouTube※専用サイトもオープン!※
マルチンゲール法はなぜ破綻するのか
コメント

【ふるさと納税】 《年末キャンペーン》 【定期便】 い・ろ・は・す 天然水 540ml 24本 選べる 3か月 6か月 12ヶ月 北杜市白州産 水 飲料 飲料水 ミネラルウォーター コカコーラ…