
f:id:ogyahogya:20180125165128p:plain

【クーポンで最安5980円】「楽天1位」加湿器 ハイブリッド加湿器 大容量 5L 超音波式 加熱式 加湿器 おしゃれ 4重除菌 6段階調節 卓上加湿器 上部給水 湿度設定 自動湿度調節 空焚き防止…

FPGAの部屋
AXI4-Stream版ラプラシアンフィルタIPのカメラ表示システム10(ラプラシアンフィルタ処理)
コメントトラックバック

ダイソン Dyson Cyclone V10 Fluffy 掃除機 コードレス掃除機 dyson SV12 FF LF ダイソン公式 新品 ダイソン掃除機 スティック掃除機 ハンディクリーナー…

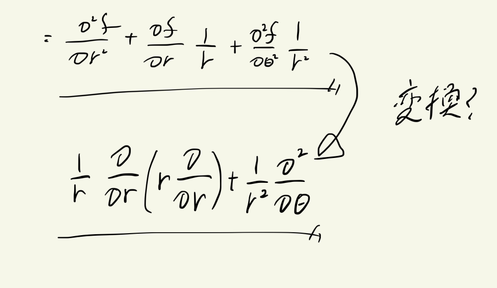
きぬちゃん(姓名:絹笠幸久)の知恵水素原子モデルのシュレディンガー波動方程式の解析での極座標の微分演算子ラプラシアンの導出2-2

Visualizing Data Using t-SNEVisualizing Data Using t-SNE

FPGAの部屋
AXI4-Stream版ラプラシアンフィルタIPのカメラ表示システム5(制約ファイル、インプリメント)
コメントトラックバック

【クーポンで最安6450円】「楽天1位」ふわとろ毛布 電気毛布 掛け敷き モコモコブランケット 極上ふわとろ 毛布ブランケット もこもこ ふわふわ シングル 即暖 保温 電気毛布 ひざ掛け…

先着100名!クーポンで6,950円【連続週間1位★SNS話題沸騰】 加湿器 大容量 加湿器 卓上 9L AIスマート加湿 加湿機 ハイブリッド加湿器 加湿器 スチーム式 5重除菌 空気清浄機…

GNNまとめ(1): GCNの導入はじめにグラフについて記法と定義GNNGCN参考文献

【11/15限定!クーポン利用で64,800円 → 42,120円+条件達成で5,000ポイント】脱毛器 Ulike 公式 Air10 IPL 光美容器 全身光美容器 脱毛 サファイア美容器…

最新AI論文をキャッチアップ グラフってこんなにすごい!深層学習との融合をレビュー

クーポンで最安2,777円!楽天1位 4冠達成 セラミックヒーター ファンヒーター 2秒速暖 小型 静音 省エネ おしゃれ 足元ヒーター 12畳部屋対応 転倒自動オフ マイナスイオン付き…

空気清浄機 加湿空気清浄機 シャープ KC-S50-W ホワイト系 プラズマクラスター7000 SHARP ( 畳数 23畳 / 加湿 14畳 まで) KC-T50 の前型番 加湿器 花粉運転…

f:id:nurs:20080216105607j:image:left:w200

【保証付き】リファ ストレートアイロン プロ しっとり ツヤ 国内シェア&楽天総合 1位 ストレートアイロン リファ ReFa STRAIGHT IRON PRO 海外対応 ヘアアイロン…

f:id:nurs:20080216110847j:image:right:w200

【レビュー特典あり】【訳アリ】公式 浄水器のブリタ 交換用カートリッジ マクストラプロ ピュアパフォーマンス 8個セット | カートリッジ 浄水ポット マクストラ 日本仕様 ブリタカートリッジ…

【公式店】 パナソニック 自動調理鍋 オートクッカー ビストロ 満水容量:4.2L ブラック NF-AC1000-K 無料ギフトラッピング 鍋底かきまぜ 圧力調理 無水調理 低温調理…

Yahoo!知恵袋↓の問題は、東京大学の問題です。
できれば、この解答がきちんと載っているサイトのURLまたは、この解答そのものをアンサーしてもらいたいです。
http://questionbox.jp.msn.com/qa2592665.html

【2025最新型!85%OFF&P5倍→3,244円】\乾燥知らず/加湿器 超音波加湿器 大容量 上部給水 8色LEDライト タイマー 卓上 アロマディフューザー ミスト調節 3重除菌…

有向グラフに対する 非線形ラプラシアンと ネットワーク解析有向グラフに対する 非線形ラプラシアンと ネットワーク解析
![[Blender 2.9] 形状を維持しながら変形 [ラプラシアン変形モディファイアー]](https://horohorori.com/wp-content/uploads/2020/09/blender_laplacian_deform_modifier_basic_usage_00-0-768x432.png)
[Blender 2.9] 形状を維持しながら変形 [ラプラシアン変形モディファイアー]

f:id:lib-arts:20200215192517p:plain

「楽天1位 クーポン利用で最大5980円~レビュー記入特典あり」電気毛布 洗濯ネット 190*130cm 140*80cm毛布 掛け敷き 洗える 1-10時間 タイマー付き 8段階温度 抗菌防臭…

f:id:YamagenSakam:20120908005338p:image:w360

グラフラプラシアンを噛み砕いて噛み砕いて跡形もなくしてみたはじめにグラフラプラシアンとはラプラシアンとはまとめ

Yahoo!知恵袋物理基礎の問題です。1秒後の波の様子を図示しなさいという問題なのですが分かりません。

【11/15限定!お得なクーポンあり♪】\2026年最新モデル/ パネルヒーター 足元 折りたたみ デスク下 リモコン付き こたつ ワイド 省エネ 節電 オフィス 遠赤外線 デスク 足元ヒーター…