
【1500円OFFクーポン有】セクシーランジェリー 超過激 穴あき 大きいサイズ セクシー ランジェリー 過激 ベビードール セクシー下着 エロ下着 ランジェリー ルームウェア 股割れ XL 2L…

【1500円OFFクーポン有】ストッキング タイツ セクシーランジェリー ガーターベルト 大きいサイズ XL 3L 4L 超過激 セクシー ニーハイ 7分丈 ストッキング 伸縮性 幅広レース…

【1500円OFFクーポン有】セクシーランジェリー 大きいサイズ セクシーランジェリー 過激 セクシーランジェリー ベビードール セクシー下着 エロ下着 ランジェリー ベビードールランジェリー…

ブラ ショーツ セット 丸見えブラ 「S M Lサイズ丸見え悩殺SEXYフルバスト オープンブラ & 穴あきショーツセット お花のレース」セクシー ランジェリー 下着 ハーフカップ オープンバスト…

f:id:tetobourbaki:20180207105906g:plain

セクシー ランジェリー ブラ ショーツ セット オープン 穴あき エロ 下着 過激 マンホールブラ ノンワイヤーブラ セクシーランジェリ セクシ-ランジェリー 超過激 紐 大人 女性 レディース…
![数学シリーズ 多変数の微分積分[POD版]Calculus in Several Variables](https://www.shokabo.co.jp/newgif/c0624.jpg)
数学シリーズ 多変数の微分積分[POD版]Calculus in Several Variables

【10%OFF】【1500円OFFクーポン有】マイクロビキニ マイクロ ビキニ セクシーランジェリー 超過激 セクシービキニ 極小ビキニ セクシー コスプレ セクシーランジェリー 水着 セクシー…

スリップ サテン プチプラ 透けない セクシー ランジェリー ベビードール 大きいサイズ 光沢 上品 エレガント かわいい スリット リボン タイト 勝負下着 su960 プレゼント ギフト…

なぜか数学者にはワイン好きが多い 1次元2粒子カロジェロ・モーザー模型

【1500円OFFクーポン有】セクシーランジェリー 大きいサイズ ブラ ショーツ 穴あき オープンブラ XL 3L 4L 超過激 セクシーランジェリー セクシー下着 エロ下着 ランジェリー…

f:id:rikunora:20111126163351p:image

【バーゲン 23%OFF】ブラジャー ショーツ セット 盛り Lace ソフト超盛ブラ(R) ブラジャー&ショーツ (女性 下着 レディース ブラショーツ 小胸 超盛ブラ 盛りブラ 谷間…

Peachii Striped Split Trousers Brown EA6117

福C【バーゲン 特別価格】セクシー ショーツ スタンダード カシュクールレース プレーンショーツ(下着 パンティ パンツ かわいい パンティー 女性 レディース かわいい下着 可愛いショーツ 単品…

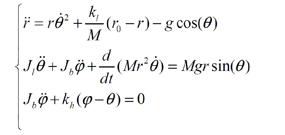
東京都立大学 理学部物理学科/大学院理学研究科物理学専攻非線形物理研究室へようこそ!

schoolmath’s diary 積分可能の定義と原始関数と不定積分の求め方

【1500円OFFクーポン有】セクシーランジェリー 大きいサイズ ベビードール 超過激 XL 3Lレディース セクシー ランジェリー 下着 セクシー 大きいサイズ セクシー コスチューム セクシー…

【最大50%OFFクーポンあり!3日まで】 レオタード ハイレグ セクシーランジェリー オープンクロッチ 透け透け エッチな下着 エロ下着 勝負下着 コスプレ 彼女 可愛い 過激 超過激 エロ下着…

【バーゲン 21%OFF】ブラジャー ショーツ セット サテン カシュクールレース脇高ブラ(R) ブラジャー&ショーツ(下着 レディース ブラ 女性 脇肉 ブラセット ブラショーツ 谷間…