
\期間限定★15%OFFクーポン配布中!/ 電動自転車 a01 折りたたみ 電動アシスト自転車 erway 自転車 電気自転車 パワフル 5段階アシスト搭載 20インチ 7段変速 おしゃれ…

数式を味わい尽くすための3つの方法 #ニコニコ学会数式を味わい尽くすための3つの方法 #ニコニコ学会

中高生にも分かる数学 ゼータ関数と素数|誰でもその凄さが分かる解説!!

うんうんそれもまた数学愛だね 「ゼータ関数」が好き過ぎるから食べたり、触ったり、計算したりしてみたという話(2/2 ページ)

【当店厳選商品ポイントUP中】【無料★特典付】 【特別価格】水受けセット ユニソン スプレスタンド60ソリッド 蛇口1個セット+ステンレスパン 蛇口付き立水栓 水栓柱&ガーデンパン 組合せセット…

【LINE追加で最大2000円OFF】 ガスコンロ リンナイ ガステーブル パールクリスタル ホワイト 白 59cm 両面焼きグリル プロパン 都市ガス 据置型ガスコンロ 2口…

1
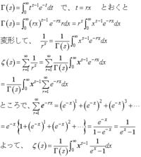
序論2
新しい方法3
結論4
今後の課題5
補足6
付録7
謝辞8
参考文献

\期間限定★15%OFFクーポン配布中!/ 型式認定済 免許不要 130km走行可能 電動自転車 a02 折りたたみ 電動アシスト自転車 20インチ erway 自転車 電気自転車…

ゼータ関数とか言われる評価方法がイマイチ分からないです http://examist.jp/math

【楽天1位!5年保証】シーリングライト 照明器具 LED 調光調色 おしゃれ 電気 北欧 照明 6畳 8畳 10畳 12畳 14畳 リモコン付き LED対応 インテリア 間接照明 天井照明…

シキノートリーマンのゼータ関数の複素力学系 投稿ナビゲーション 人気のページPSO2のスクリーンショット= カタログ =スポンサーリンク※トップ絵ライセンスメタ情報アーカイブ最近のコメント

期間値引クーポンあり ドレッサー おしゃれ 女優ミラー《自社製品》可愛い デスク 欧風 鏡台 お姫系 ベロア調 テーブル 幅80cm 幅60cm 幅100cm チェスト スツール LEDミラー…

シキノートリーマンのゼータ関数の複素力学系 投稿ナビゲーション 人気のページPSO2のスクリーンショット= カタログ =スポンサーリンク※トップ絵ライセンスメタ情報アーカイブ最近のコメント

【先着20%クーポン有☆20日23:59迄D会員限定】 iphone16 ケース iphone15 ケース スマホケース カード iphone14 ケース iphone13 ケース…

f:id:jurupapa:20150816225800p:plain

Gihyo Digital Publishing書籍概要ビジュアル リーマン予想入門~グラフで解き明かす素数とゼータ関数の関係~

【5年保証】シーリングライト LED 三色切替 6灯 8灯 6畳 8畳 10畳 12畳 北欧 E26 リビング 照明 おしゃれ 回転可能 スポットライト 天井照明 照明器具 電気 寝室 食卓 洋風…

【納期お問合せ下さい】 UNISON ガーデンシンク バル 立水栓 バルスタンド トールポット 上下蛇口 セット BARU 水栓柱 ユニソン 補助蛇口 ホース用 2口 ガーデンポット サテン…

fortran66のブログ 【メモ帳】Riemann の zeta 関数の零点計算zeta 関数の非自明零点の計算

【ビジネス割10%OFF&1200円OFFクーポン9/26-10/24】 応接セット 4点セット 4人用 ソファーセット センターテーブル パネル脚 応接椅子 業務用 おしゃれ 黒 ブラウン…

お歳暮 プレゼント ギフト ハロウィン 2025 百貨店で人気 お菓子 【パティスリーキハチ 公式】 人気 おしゃれ 高級 ギフト ランキング 洋菓子 内祝い お返し キハチ 焼き菓子 焼菓子…

f:id:tsujimotter:20150210001822p:plain:w360

特殊関数 グラフィックスライブラリー Graphics Library of Special functions

【当店厳選商品ポイントUP中】おすすめ【無料★特典付】 【特別価格】 スプレスタンド60ソリッド 左右仕様 蛇口2個セット イメージ画像:蛇口ゴールド 本体 オフブラック 2口水栓柱…

【ポイント2倍】ACTUS カタログギフト<SHINRIN(森林)> 内祝い 結婚祝い 結婚内祝い 出産祝い 引き出物 カタログ ギフト グルメ おしゃれ 結婚 内祝 引出物 引越し祝い 引っ越し…

ダイハツ工業による法律学科・法学研究科ESG関係合同特別授業を行いました