
中が透けない 壁付き チェスト スリム/ワイド 幅34/54 奥行41.5/41.7 高さ66.1/86.1/106.1cm タンス 衣装ケース 収納ケース プラスチック 引き出し 洗面所 収納…

中が透けない 壁付き チェスト 専用 ズレない 天板 水に強い 耐荷重10kg チェスト用 収納ケース用 収納ボックス用 シェルフ 棚 【天板のみ ※本体別売り】 山善 YAMAZEN 【送料無料】
![[4時間限定]20%OFFクーポン12/4 20時~ 【新商品】 NERUS ふわとろ毛布 Air AirPremium 【正規品】 毛布 ブランケット もこもこ毛布 モコモコ とろとろ ふわふわ シングル セミダブル ダブル ハーフ ふわもこ ふわとろ ポコポコ ひざ掛け 2枚合わせ 6層 厚手 秋冬 Branchpoint](https://thumbnail.image.rakuten.co.jp/@0_mall/t-interior/cabinet/item/usual/htc50_bp2.jpg?_ex=300x300)
[4時間限定]20%OFFクーポン12/4 20時~ 【新商品】 NERUS ふわとろ毛布 Air AirPremium 【正規品】 毛布 ブランケット もこもこ毛布 モコモコ とろとろ ふわふわ…

tsujimotterのノートブック 補足:法2017における(-1)の平方根の計算

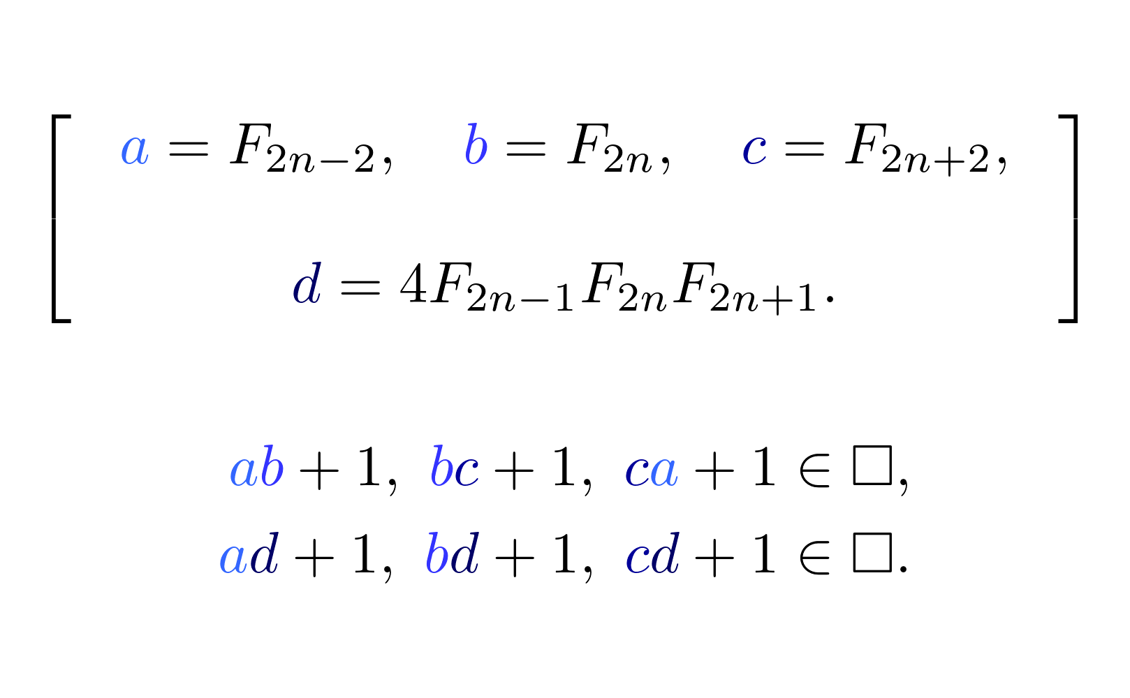
二次形式と素数で遊ぼう - 第2回 #日曜数学会 二次形式と素数で遊ぼう - 第2回 #日曜数学会

【“5年連続”インテ寝具総合1位】確かな品質 「純」 高反発(R) 〈全部洗える〉 マットレス 10cm厚 3つ折り メッシュ/パイル 折りたたみ ベッドマットレス 10cm セミシングル…

ラグ 洗える 1畳 1.5畳 2畳 3畳 4畳 洗えるラグ おしゃれ 北欧 防ダニ 冬 床暖房対応 オールシーズン 滑り止め マット ラグマット カーペット ラグカーペット センターラグ 正方形…

マットレス 高反発 シングル 三つ折りマットレス 敷布団 敷き布団 三つ折り 高反発マットレス セミダブル ダブル 極厚10cm 3つ折り 消臭 メッシュ生地 ベッドマットレス シングルマットレス…

【数Ⅱ剰余の定理】剰余の定理の応用 余りをさらに割っても余りが一致する仕組み

【日本No.1受賞】ハグモッチ 正規品【さらに改善】【医師の92%推奨】30万人の眠りを変えた 枕 ふわもち 腰 肩 首 いびき防止 抱き枕 妊婦 誕生日プレゼント 人をダメにする クッション…

【3日20時〜SALE!最大80%!】マットレス 高反発 シングル ダブル セミダブル 厚10cm 高反発マットレス 三つ折り 190N 210N 硬め 敷布団 敷き布団 3つ折り…

素数は孤独じゃない! - 第401回科学勉強会素数は孤独じゃない! - 第401回科学勉強会
![[P15倍/12月3日まで] <3年連続最も売れた毛布> 毛布 シングル 140×200cm ブランケット 冬 ひざ掛け 膝掛け 掛け毛布 160×200cm 180×200cm レギュラー ボリュームタイプ 4層プレミアム マイクロファイバー フランネル セミダブル ダブル 暖かい](https://thumbnail.image.rakuten.co.jp/@0_mall/dondon/cabinet/zmf01_3.jpg?_ex=300x300)
[P15倍/12月3日まで] <3年連続最も売れた毛布> 毛布 シングル 140×200cm ブランケット 冬 ひざ掛け 膝掛け 掛け毛布 160×200cm 180×200cm レギュラー…

【ワンダフルデーP5倍】マットレス 線径2.3mmのエッジサポート ポケットコイル シングル セミダブル ダブル 85スモールシングル セミシングル 厚さ20cm 配送日指定可 送料無料…

【24h限定★最大15%OFFクーポン】【一部カラー20%引!】 販売累計12.9万枚! ラグ 洗える シエロ ラグマット キルトラグ 絨毯 北欧 おしゃれ くすみ カーペット 95×130…

【数Ⅱ剰余の定理】剰余の定理の応用 余りをさらに割っても余りが一致する仕組み

素数は孤独じゃない! - 第401回科学勉強会素数は孤独じゃない! - 第401回科学勉強会

羽毛布団 ハンガリーホワイトダック93% 羽毛増量タイプ 400DP 洗える ランドリッシュ 7年保証 専門店品質 ハンガリアン ダウン 羽毛掛け布団 羽毛ふとん 日本製 立体キルト コインランドリー

【ポイント5倍★12/1(月)24時間限定】【公式】エアウィーヴ スマート Z01 シングル セミダブル ダブル | マットレス 高反発 厚さ9cm 高反発マットレス 折りたたみマットレス…