
眩しくない 鯖江 夜間 運転 サングラス 運転用 調光サングラス レディース ネオコントラスト 調光 ナイト おしゃれ ボストン メガネ メラニン uvカット 白内障 術後 保護メガネ ネオグラス…

ワッフル ケーキ 10個 | お菓子 洋菓子 詰め合わせ ギフト 個包装 クリスマス 内祝い お歳暮 御歳暮 ワッフルケーキ スイーツ 冷凍 秋 お取り寄せスイーツ 女性 彼女 妻…

2自由度の振動モードについての図です。1次の固有振動モードは2つの質量が同じ方向へ振動します。2次の固有振動モードはお互いの質量が反対方向へ振動します。 詳細はブログで解説していますので、参考にしていただければと思います。 #物理#振動工学#振動#固有振動 Freedom, Beginners, Liberty, Political Freedom

【期間限定★10%OFFクーポン+P5倍!】 電動自転車 a01 折りたたみ 電動アシスト自転車 erway 自転車 電気自転車 パワフル 5段階アシスト搭載 20インチ 7段変速 おしゃれ…

減衰振動の相平面です。アニメーションで示しており、らせん状に変位していく様子がイメージできますね。位置も速度も減衰していくので、徐々に原点に収束していく形になります。#物理#振動工学#振動#減衰振動#相平面#physics#vibration#phase Line Chart, Diagram

【12/19までポイント20倍】ペーパーポット ティッシュケース おしゃれ トイレットペーパー対応 ティッシュホルダー ティッシュカバー かわいい 丸型 ボックスティッシュ対応…
![振動工学-設計から解析まで [ISBN-M-978-4627664517]](https://www.mbd-shop.jp/data/mbd-shop/product/20160519_05fb35.gif)
振動工学-設計から解析まで [ISBN-M-978-4627664517]

振動・波動の基礎-㉖連続体の振動 両端固定の弦の強制振動をわかりやすく解説

【無料★特典付】 【特別価格】水受けセット ユニソン スプレスタンド60ソリッド 蛇口1個セット+ステンレスパン 蛇口付き立水栓 水栓柱&ガーデンパン 組合せセット 4カラー 1口水栓柱…

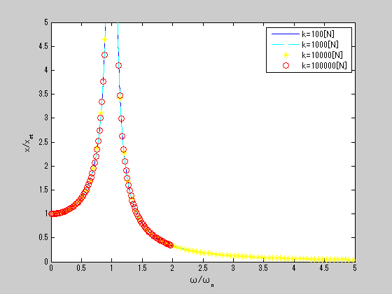
MATLABで学ぶ振動工学 1自由度モデル(不減衰)2 前回の続き 理論 プログラム 結果

【LINE追加で最大2000円OFF】 ガスコンロ リンナイ ガステーブル パールクリスタル ホワイト 白 59cm 両面焼きグリル プロパン 都市ガス 据置型ガスコンロ 2口…

振動工学について以下の問題を教えてください 図1の質量、ダッシュポット、ばね系について次の問いに答え

【期間限定★10%OFFクーポン+P5倍!】 サスペンション搭載 型式認定済 電動自転車 免許不要 130km走行可能 a02 折りたたみ 電動アシスト自転車 20インチ 自転車 350Wモーター…

期間値引クーポンあり ドレッサー おしゃれ 女優ミラー《自社製品》可愛い デスク 欧風 鏡台 お姫系 ベロア調 テーブル 幅80cm 幅60cm 幅100cm チェスト スツール LEDミラー…

【楽天1位!5年保証】シーリングライト 照明器具 LED 調光調色 おしゃれ 電気 北欧 照明 6畳 8畳 10畳 12畳 14畳 リモコン付き LED対応 インテリア 間接照明 天井照明…

振動マシン 強力300W EasyChange ぶるぶる振動マシン フィットネス 振動マシーン シェイカー式 ブルブル 振動 マシン エクササイズ ダイエット器具

ダイエット 振動マシン ダイエット器具 ブルブル 振動 マシン ブルブル振動マシン 振動マシーン シェイカー式(RIORES(リオレス) 楽天市場店)

お歳暮 お菓子 ギフト スイーツ クッキー 詰め合わせ 御歳暮 冬ギフト 高級 おしゃれ 誕生日プレゼント 個包装 がらんの小石 30個入 お取り寄せスイーツ プチギフト 焼き菓子 出産祝い…

【メーカー】日鉄鉱業株式会社 【型式】KVF410 山十産業では、中古機械の販売・買取をおこなっております。

【5年保証】シーリングライト LED 三色切替 6灯 8灯 6畳 8畳 10畳 12畳 北欧 E26 リビング 照明 おしゃれ 回転可能 スポットライト 天井照明 照明器具 電気 寝室 食卓 洋風…

マキタ 14.4V 充電式振動ドライバドリル HP474DRGX 6.0Ahバッテリ・充電器・ケース付|toolstakumi

【納期お問合せ下さい】 UNISON ガーデンシンク バル 立水栓 バルスタンド トールポット 上下蛇口 セット BARU 水栓柱 ユニソン 補助蛇口 ホース用 2口 ガーデンポット サテン…

Bearing Doctor BD-2 型のご紹介回転機械の状態をその場で測定・診断できる、高機能な振動診断器です。一般的な振動測定・診断はもちろん、軸受の状態診断が簡単かつスピーディーに行えます。

f:id:ryooji_f:20110913201154p:image

Ubook Beauty Appointments Online 24/7

【20%OFFクーポン!LINE追加で今すぐ使える☆】 iphone16 ケース iphone15 ケース スマホケース カード iphone14 ケース iphone13 ケース…