
【1点1,992円~ 2点購入&クーポンで】もこもこ毛布 ふわとろ ブランケット フランネル生地 洗濯機対応 軽量 マイクロファイバー 静電気防止 秋冬 プレゼント ギフト(T)【予約販売】

gelato pique 【ドラゴンクエスト】ベビモコモンスターブランケット ジェラートピケ インテリア・生活雑貨 ブランケット・ひざ掛け【送料無料】

【10%offクーポン&P2倍 10/9 1:59マデ】 【新商品】 NERUS ふわとろ毛布 Air AirPremium 【正規品】 毛布 もこもこ毛布 ブランケット モコモコ…

【日本No.1受賞】ハグモッチ 正規品【さらに改善】【医師の92%推奨】20万人の眠りを変えた 枕 ふわもち 腰 肩 首 いびき防止 抱き枕 妊婦 誕生日プレゼント 人をダメにする クッション…

受託オンラインCommissioned Research Online株式会社薬研社株式会社薬研社リポタンパク質解析サービス“LipoSEARCH” ID: J01189

【10%offクーポン&P2倍 10/9 1:59マデ】 【ZIP!キテルネで紹介されました!】 毛布 NERUS 【正規品】 ふわとろ毛布 もこもこ毛布 ブランケット モコモコ とろとろ…

【正午~クーポン5%引】 【“5年連続”インテ寝具総合1位】確かな品質 「純」 高反発(R) マットレス エコテックス 10cm厚 3つ折り メッシュ/パイル 折りたたみ ベッドマットレス…

Yahoo!知恵袋有機化学で「プリンがピリミジンよりも塩基性が強い理由を述べよ」という問題で、教科書に書いてなくて困ってます。だれかわかる方いませんか?

【50%オフクーポン】即納 収納ボックス 収納ケース 折りたたみ 収納 ふた付き キャスター付き 5面開き 前開き 27L 40L 53L 82L 屋外 おしゃれ プラスチック 衣装ケース…

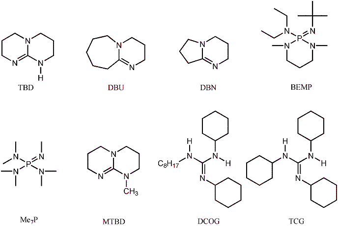
マルコフニコフ則を逆転する:有機超強塩基触媒によるオレフィンへのアルコール付加反応 有機超強塩基による反マルコフニコフ的エーテル付加反応

マルコフニコフ則を逆転する:有機超強塩基触媒によるオレフィンへのアルコール付加反応 有機超強塩基による反マルコフニコフ的エーテル付加反応

ラグ 洗える 1畳 1.5畳 2畳 3畳 4畳 洗えるラグ おしゃれ 北欧 防ダニ 冬 床暖房対応 オールシーズン 滑り止め マット ラグマット カーペット ラグカーペット センターラグ 正方形…

【最大3500円OFFクーポン】 枕 枕カバー 付 ヒツジのいらない枕 ギフト 実用的 健康グッズ 誕生日 ギフト 洗える 通気性 寝用枕 うつぶせ寝 まくら ジェル 首 寝返り 横向き 仰向け…

【20時〜◎P3倍&5%OFFクーポン!】【一部カラー20%引!】 販売累計12万枚! ラグ 洗える シエロ ラグマット キルトラグ 絨毯 北欧 おしゃれ くすみ カーペット 95×130…

布団セット 7点セット シングル 中綿増量1.6kg 固綿入り 敷き布団 掛け布団 枕 掛け布団カバー 敷き布団カバー 収納袋付き 抗菌 防臭 防カビ 布団 寝具 布団7点セット 掛敷セット 安心…

有機化学です。 写真の分子が塩基条件下の水溶液中では分子内アルドール縮合を起こすと考えているのですが

【30%offクーポン&P2倍 10/9 1:59マデ】 毛布 NERUS 【正規品】 ストライプ毛布 ふわとろ 毛布 もこもこ毛布 ブランケット ふわふわ 2枚合わせ シングル…

「塩酸塩」と「塩化物」ってどう違うの?(あるいは「そもそも『塩(えん)』って何?」)

マットレス 高反発 シングル 三つ折りマットレス 敷布団 敷き布団 三つ折り 高反発マットレス セミダブル ダブル 極厚10cm 3つ折り 消臭 メッシュ生地 ベッドマットレス シングルマットレス…

清水茜の関連記事 清水茜の関連特集・インタビューPR最新の特集・インタビューPR