
【クーポン&ポイント10倍】お歳暮 プレゼント ギフト クリスマス 2025 百貨店で人気 お菓子 【パティスリーキハチ 公式】 人気 おしゃれ 高級 ギフト ランキング 洋菓子 内祝い お返し…

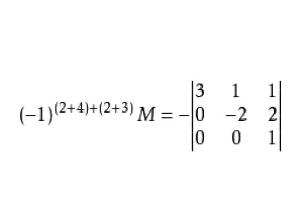
MENUBASIC STUDYPROGRAMMINGAI REPORTABOUT USAVILEN余因子・余因子行列の求め方と例題

【楽天1位!5年保証】シーリングライト 照明器具 LED 調光調色 おしゃれ 電気 北欧 照明 6畳 8畳 10畳 12畳 14畳 リモコン付き LED対応 インテリア 間接照明 天井照明…

\マラソン限定★クーポン利用で30,000円OFF!/ 電動自転車 a01 折りたたみ 電動アシスト自転車 erway 自転車 電気自転車 パワフル 5段階アシスト搭載 20インチ 7段変速…

ccb9fff36281b7f7c0a65ef0f886d9e7.png

为什么代数余子式可以直接这样相加!难道不是要直接写出来…我在书上没有看到可以直接这样加的公式呀…为什么代数余子式可以直接这样相加!难道不是要直接写出来…我在书上没有看到可以直接这样加的公式呀…

【無料★特典付】 【特別価格】水受けセット ユニソン スプレスタンド60ソリッド 蛇口1個セット+ステンレスパン 蛇口付き立水栓 水栓柱&ガーデンパン 組合せセット 4カラー 1口水栓柱…

13行列式02---余子式与代数余子式、行列式按行(列)展开法则、行列式计算、范德蒙行列式

【LINE追加で最大2000円OFF】 ガスコンロ リンナイ ガステーブル パールクリスタル ホワイト 白 59cm 両面焼きグリル プロパン 都市ガス 据置型ガスコンロ 2口…

f:id:bitterharvest:20190606082432p:plain

\マラソン限定★クーポン利用で129,800円~!/ 電動自転車 型式認定済 免許不要 130km走行可能 a02 折りたたみ 電動アシスト自転車 20インチ erway 自転車 電気自転車…

始代数による帰納的計算に親しむ - なぜ自然数は0を含むか(圏論) \mathcal{F}-代数 補遺

期間値引クーポンあり ドレッサー おしゃれ 女優ミラー《自社製品》可愛い デスク 欧風 鏡台 お姫系 ベロア調 テーブル 幅80cm 幅60cm 幅100cm チェスト スツール LEDミラー…

f:id:bitterharvest:20190608083249p:plain

f:id:bitterharvest:20190606083030p:plain

お歳暮 お菓子 ギフト スイーツ クッキー 詰め合わせ 高級 おしゃれ 誕生日プレゼント 個包装 がらんの小石 30個入 お取り寄せスイーツ プチギフト 御歳暮 焼き菓子 出産祝い 内祝い お返し…

ペーパーポット ティッシュケース おしゃれ トイレットペーパー対応 ティッシュホルダー ティッシュカバー かわいい 丸型 ボックスティッシュ対応 Aicollection アイコレクション 日本製…

【納期お問合せ下さい】 UNISON ガーデンシンク バル 立水栓 バルスタンド トールポット 上下蛇口 セット BARU 水栓柱 ユニソン 補助蛇口 ホース用 2口 ガーデンポット サテン…

【最大20%クーポン有☆11/10 0時〜24H!D会員限定】 iphone16 ケース iphone15 ケース スマホケース カード iphone14 ケース iphone13 ケース…

Scientific Calculator- Simple &Multi Functions

f:id:liaoyuan:20170606223259p:plain:w400

応接セット 4点セット 4人 応接 ソファ 椅子 応接テーブル ソファセット 応接室 おしゃれ モダン 会議セット 商談 オフィス コンパクト シャルマン SA681-2-T13S

送料無料ギフト 『ミックスゼリー18個セット』御中元 水菓子 果物ゼリー 贈り物 夏ギフト 詰め合わせ 手土産 誕生日 プレゼント 御礼 御祝 お返し 内祝 引越し ご挨拶 香典 フルーツ…