Available on
JapaneseClass.jp
Login
Forgot password
MAIN
Social Feeds
LEARN
Practice
Lessons
Readings
Notes
COMMUNITY
Rankings
Forum
Discord
MISCELLANEOUS
Topics
Matome
Dictionary
Donate
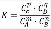
平衡定数 - Equilibrium constant
View more
Shopping
【送料無料】瓶内二次発酵製法カバ5本入り!!激旨スパークリングワイン12本セット 第13弾 スパークリングワイン 辛口 ワインセット 【W05216】
8,800
円
633
customer ratings
4.39
★★★★
…
【 送料無料 】 1本あたり749円(税込) 格上メドック&5冠金賞入り!フランス金賞赤ワイン12本セット 第105弾【7784110】 | 金賞受賞 飲み比べ ワイン ワインセット wine wainn フルボディ ボルドー お買い得 パーティー ギフト
8,980
円
2261
customer ratings
4.48
★★★★
ボルドー金賞ワインを含むフランス各地の金賞受賞ワイン12本を厳選! ★信頼のメダル受賞★確かな品質!三段階審査で厳選!各コンクールメダル受賞×マイワインクラブスタッフ×専属ソムリエ…
【送料無料】デイリーワインの決定版!毎日おいしい赤白泡18本セット 第7弾 赤ワイン 白ワイン スパークリングワイン フルボディ 辛口 ミディアムボディ ワインセット 【W05280】
9,980
円
73
customer ratings
4.58
★★★★★
…
12/1限定P3倍 お歳暮 御歳暮 冬ギフト ビール お酒 プレゼント 2025 飲み比べ 詰め合わせ【送料無料】アサヒスーパードライ AS-5N 1セット SGL御礼 御祝 内祝 お誕生日 贈り物 高級
4,890
円
456
customer ratings
4.71
★★★★★
【内容量】 スーパードライ350ml×21本 【原材料】 麦芽、ホップ、米、コーン、スターチ 【アルコール分】 5.0% 【商品特徴】 大人気スーパードライギフト 大切な方への贈答用におすすめ。ビール・地ビール>国産ビール>セット・詰め合わせ>>
毎月1日のみの超限定販売!うきうきワインの玉手箱渾身1万円福袋!辛口赤コース 辛口白コース 辛口シャンパーニュコースの3種類販売 ワインセット 赤ワイン 白ワイン シャンパーニュ スパークリング 泡
11,000
円
221
customer ratings
4.2
★★★★
※こちらの商品につきましては、返品・交換はお断りしております。 また、発送は順次発送となります。ご注文殺到時はお時間を頂く場合がございます。予めご了承ください。 ※こちらの福袋につきましては、着日指定はお受けできません。ご注文順に順次出荷させて頂きます。…
【送料無料】金賞総数34個!金賞が多すぎるスペイン赤白泡12本セット 第4弾 ワインセット フルボディ ミディアムボディ 辛口 赤ワイン 白ワイン スパークリングワイン 泡 【W05176】
8,228
円
14
customer ratings
4.79
★★★★★
…
【送料無料】 金賞総数30超!ボルドー金賞赤ワイン12本セット 第11弾 赤ワイン ワインセット 【W05220】
10,998
円
83
customer ratings
4.58
★★★★★
…
【 特別 送料無料 】 1本たったの598円(税込) 3大銘醸地入り 世界選りすぐり赤ワイン11本セット 第275弾【7784795】 | 金賞 飲み比べ ワイン ワインセット wine wainn ボルドー フランス イタリア スペイン お買い得 ギフト
6,578
円
5631
customer ratings
4.49
★★★★
ワイン三大銘醸地フランス、イタリア、スペインを中心に、世界の赤ワインを厳選した美味しいとこどりお買得赤ワインセット!1本あたりたったの598円(税込)!直輸入のMy Wine Clubだからできる、デイリーに楽しめるお手頃価格!…
【送料無料】 55%OFF 当たり年ボルドー・シュペリュール&格上リオハ入り!すべて金賞!世界の選りすぐり赤ワイン11本セット 第13弾 赤ワイン フルボディ ワインセット 【W07013】
7,980
円
145
customer ratings
4.39
★★★★
…
【 送料無料 】49%OFF 三大銘醸地&金賞入り!世界の辛口白ワイン12本セット 第65弾 白ワイン ワインセット 辛口 【7787420】
8,228
円
464
customer ratings
4.32
★★★★
…
12/1限定P3倍 【抽選で1等77,777ポイント当たる!】【送料無料】 アサヒ スーパードライ 350ml×2ケース/48本 YTR ビール 辛口 アサヒビール
9,618
円
3248
customer ratings
4.83
★★★★★
【内容量】 350ml 【原材料】 麦芽、ホップ、米、コーン、スターチ 【商品説明】 アルコール分:5% 洗練されたクリアな味、辛口。 さらりとした口当たり、シャープなのどごし。 キレ味さえる、いわば辛口ビールです。
アサヒ スーパードライ 缶( 350ml×24本入)【2shdrk】【アサヒ スーパードライ】[アサヒビール/ビール/スーパードライ]
5,036
円
933
customer ratings
4.59
★★★★★
お店TOP>アルコール飲料>ビール>アサヒ スーパードライ 缶 ( 350ml×24本入)お一人様20個まで。【アサヒ スーパードライ 缶の商品詳細】●さらりとした飲み口、キレ味さえる、いわば辛口の生ビールです。●アルコール度数 5%【品名・名称】ビール【アサヒ スーパードライ…
【全国送料無料】 お歳暮 冬ギフト ギフト ビール スーパードライ アサヒビール アサヒスーパードライ 缶ビールセット 型番:AS-3N 御歳暮 歳暮 2025 送料無料 冬 贈答用 詰め合わせ お取り寄せ 歳暮ギフト 人気 高級 上司 友人 親戚 家族 両親 同僚 内祝い お祝い
2,959
円
74
customer ratings
4.66
★★★★★
・商品写真はイメージです。・手提げ紙袋のご要望は対応いたしかねます。<お酒の販売について>20歳以上の年齢であることを確認できない場合には酒類を販売いたしません。〜飲酒は、20歳になってから〜お歳暮 ギフト ビール スーパードライ アサヒビール アサヒスーパードライ 缶ビールセット…
12/1限定P3倍 【抽選で1等77,777ポイント当たる!】【送料無料】キリン 淡麗グリーンラベル 350ml×2ケース/48本 YTR ビール 発泡酒 キリンビール
7,750
円
1894
customer ratings
4.84
★★★★★
【内容量】 350ml 【原材料】 麦芽、ホップ、大麦、糖類 【アルコール度数】 4.5% 【商品特徴】 糖質70%オフ※の、からだも気持ちもここちよい発泡酒。※五訂増補日本食品標準成分表による。
【企画品】ブッカーズ(750ml)
11,332
円
1
customer ratings
5.0
★★★★★
お店TOP>アルコール飲料>アルコール飲料 その他>ブッカーズ…
12/1限定P3倍 【抽選で1等77,777ポイント当たる!】お歳暮 御歳暮 冬ギフト ビール お酒 プレゼント 2025 飲み比べ 詰め合わせ【送料無料】サッポロ エビス 4種の味わいセット YNF3D 1セット SGL御礼 御祝 内祝 お誕生日 贈り物 高級 3000円以下
2,968
円
2026
customer ratings
4.64
★★★★★
【商品特徴】 味わい豊かな4種のヱビスビールをお楽しみいただけます。 【内容量】 エビスビール 350ml×3本 クリエイティブブリュー和奏350ml×3本 エビスプレミアムエール 350ml×3本 エビスプレミアムブラック 350ml×3本
【送料無料】3大銘醸地入り!世界の選りすぐり赤・白・スパークリングワイン飲み比べ12本セット 第28弾 【7787508】 | 金賞 飲み比べ ワイン ワインセット ミックス wine wainn ボルドー フランス イタリア スペイン お買い得 ギフト
7,980
円
191
customer ratings
4.45
★★★★
<フランス>●ロベール・ルドゥー・ルージュ(IGP…
12/1限定P3倍 お歳暮 御歳暮 冬ギフト ビール お酒 プレゼント 2025 飲み比べ 詰め合わせ【送料無料】アサヒ スーパードライ ギフトセット AS-3N 1セット SGL御礼 御祝 内祝 お誕生日 贈り物 高級 3000円以下
2,950
円
288
customer ratings
4.58
★★★★★
大切なあの人に、贈り物にはアサヒビール 【内容量】 スーパードライ350ml×10本 スーパードライ500ml×2本重要なお知らせ…
【送料無料】世界選りすぐりスパークリングワイン11本セット 第40弾 スパークリングワイン 辛口 ワインセット 【7787498】
8,280
円
419
customer ratings
4.4
★★★★
…
お歳暮 2025 ビール 数量限定 当店限定 お歳暮 ビール ギフト セット 最大250円オフクーポン対象 送料無料 サントリー 4種 12缶 BPH3SS 御歳暮 歳暮 プレゼント 詰合せ こだわり kmt9172ok
2,970
円
692
customer ratings
4.68
★★★★★
こちらの商品は東北・関東・中部・近畿は送料無料、その他地域は440円(沖縄は1100円)送料としてプラスさせていただきます。 ■説明 「世界最高峰のビールをつくる。」そんな醸造家の夢から、プレミアムモルツは誕生しました。…
Dictionary
定数
ていすう
constant
0
平衡
へいこう
even scale / equilibrium / balance / equalization / equalisation
0
Tags
平衡化学
日本産業規格を典拠にしている記事
無次元数
Share
Twitter
Trends
trends timeline
Languages
Gleichgewichtskonstante
Equilibrium constant
Constante de equilibrio
Tasapainovakio
Constante d'équilibre
Konstanta kesetimbangan
Evenwichtsconstante
Константа равновесия
Denge sabiti
平衡定数
Related
酸解離定数
化学平衡
熱力学
統計力学
Similar
質量数
比熱比
無次元量
G因子
LRV (対数減少値)
View More
JapaneseClass.jp
Travel
Japan Hotels