Available on Google PlayApp Store
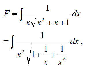
楕円積分の式について

Share

Trends

trends timeline
trends timeline for %E6%A5%95%E5%86%86%E7%A9%8D%E5%88%86%20-%20Elliptic%20integral