Available on Google PlayApp Store

続け様

mercari beeant

Meaning

続け様 つづけざま
noun (common) (futsuumeishi)
  • one after another

Translations

  • → 続けざま

Kanji

    • onyomiゾクショクコウキョウ
    • kunyomiつづ.くつづ.けるつぐ.ない
    • meaningcontinue; series; sequel
    • onyomiヨウショウ
    • kunyomiさまさん
    • meaningEsq.; way; manner; situation; polite suffix

Shopping

Images

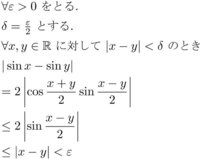
交代級数の収束性の証明とその具体例\displaystyle F(x)=P(-\infty \leq X \leq x)= \frac{x-0}{5-0}Yahoo!知恵袋sinxがR上一様連続であることの証明は、【スターリングの公式】階乗n!の近似公式とその厳密な証明一様連続と連続の違いをわかりやすく図解する一様分布とは?サイコロの例でわかりやすく!期待値(平均)や分散の出し方も一様分布とは?サイコロの例でわかりやすく!期待値(平均)や分散の出し方も「断続」と「連続」の違いとは?分かりやすく解釈ε-δ論法についていい資格\displaystyle f(x)=0~~~(X  b)一様分布とは? 期待値と分散の導出、離散型と連続型の特徴meaning-bookは意味解説の読み物です「連続」の意味とは?読み方・対義語・英語【使い方や例文】\displaystyle F(x)=P(-\infty \leq X \leq x)= \frac{x-a}{b-a}MENUBASIC STUDYPROGRAMMINGAI REPORTABOUT USAVILEN連続一様分布の平均・分散の導出(証明)1変数の関数と微分y=tan x のグラフYahoo!知恵袋解析の連続性、一様連続性の質問です。Motoo Tange's Blogmeaning-bookは意味解説の読み物です「連続」の意味とは?読み方・対義語・英語【使い方や例文】【大学数学】一様連続関数の性質 -1次関数による評価-Motoo Tange's Blog三重県鈴鹿市のレーシングカーコンストラクター一様分布(連続型)画像一様分布(連続型)一様連続だがリプシッツ連続でない関数の例 その1~準備~リプシッツ連続の意味、他の連続性との関係一様連続と連続の違いをわかりやすく図解するある変わり者のブログ一様分布(連続型)画像一様連続と連続の違いをわかりやすく図解する一様分布の定義と性質のわかりやすいまとめ~離散型・連続型~アルコールの工業的製法と求核置換反応による合成法Yahoo!知恵袋この本さがしてます!!
多分、法政大学の先生なんかが出している『人間形成論』的な本なのですが‥ご存知の方いますか??間違ってぃるせいか見つかりませんm(_ _)m
View more

Share