
【スーパーDEAL ポイント最大35%バック】ワッフル ケーキ 10個 | お菓子 洋菓子 詰め合わせ ギフト 個包装 クリスマス 内祝い お歳暮 御歳暮 ワッフルケーキ スイーツ 冷凍 秋…

黒人歴史月間を生んだ、一人のひたむきな歴史家ナショナルジオグラフィック日本版サイト

【期間限定★10%OFFクーポン+P5倍!】 電動自転車 a01 折りたたみ 電動アシスト自転車 erway 自転車 電気自転車 パワフル 5段階アシスト搭載 20インチ 7段変速 おしゃれ…

【12/12よりポイント20倍】ペーパーポット ティッシュケース おしゃれ トイレットペーパー対応 ティッシュホルダー ティッシュカバー かわいい 丸型 ボックスティッシュ対応…

もけもけな日々 〜遊戯王ZEXAL・オンラインetc〜 ryuzakiyashiro

【無料★特典付】 【特別価格】水受けセット ユニソン スプレスタンド60ソリッド 蛇口1個セット+ステンレスパン 蛇口付き立水栓 水栓柱&ガーデンパン 組合せセット 4カラー 1口水栓柱…

【スペシャルSALE|クーポン配布】ガスコンロ リンナイ ガステーブル パールクリスタル ホワイト 白 59cm 両面焼きグリル プロパン 都市ガス 据置型ガスコンロ 2口 ココットプレート同梱…

★このままでは🗾国が滅ぶ【伝統🗾承継・伝承は国民の使命】
一発アウト!「#菅直人元首相を支持します」にみる「ゴドウィンの法則」。議論ができない人という告白のキーワード|【3分解説】ワン☆ポイント解説#032
コメント 西の毘沙門天

【ご新規様限定49%OFFクーポン|13日10時~100名限定】 iphone16 ケース iphone16e ケース iphone16pro iphone11 ケース スマホケース…

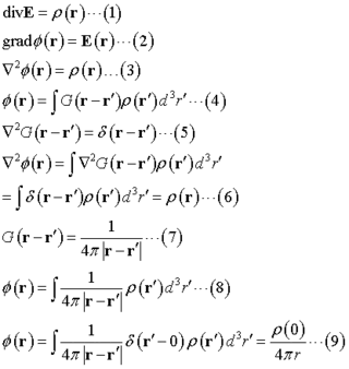
Yahoo!知恵袋<緊急です!!>ガウスの法則とクーロンの法則の関係について。
大学の電磁気学です。
静電場において、ガウスの法則からクーロンの法則をリカバーするのに必要な条件を教えてください。

有田芳生 議員の「ナチズムの優性思想w」と「ゴドウィンの法則」と「ストローマン」 #杉田水脈

【楽天1位!5年保証】シーリングライト 照明器具 LED 調光調色 おしゃれ 電気 北欧 照明 6畳 8畳 10畳 12畳 14畳 リモコン付き LED対応 インテリア 間接照明 天井照明…

【期間限定★10%OFFクーポン+P5倍!】 サスペンション搭載 型式認定済 電動自転車 免許不要 130km走行可能 a02 折りたたみ 電動アシスト自転車 20インチ 自転車 350Wモーター…

「ヒトラーと同じ」に関係する言葉としてゴドウィンの法則というものがあるらしい

眩しくない 鯖江 夜間 運転 サングラス 運転用 調光サングラス レディース ネオコントラスト 調光 ナイト おしゃれ ボストン メガネ メラニン uvカット 白内障 術後 保護メガネ ネオグラス…

Yahoo!知恵袋フントの法則について
フントの法則がなぜ成り立つのかがわかりません。
全スピンが最大となるように電子が占有されていく理由はわかったのですが、全軌道角運動が最大となるように電子が占

期間値引クーポンあり ドレッサー おしゃれ 女優ミラー《自社製品》可愛い デスク 欧風 鏡台 お姫系 ベロア調 テーブル 幅80cm 幅60cm 幅100cm チェスト スツール LEDミラー…

【納期お問合せ下さい】 UNISON ガーデンシンク バル 立水栓 バルスタンド トールポット 上下蛇口 セット BARU 水栓柱 ユニソン 補助蛇口 ホース用 2口 ガーデンポット サテン…

「ヒトラーと同じ」に関係する言葉としてゴドウィンの法則というものがあるらしい

【ご新規様限定49%OFFクーポン|13日10時~100名限定】 iphone16 ケース iphone15 ケース スマホケース カード iphone14 ケース iphone13 ケース…

中学理科で習う『法則と原理の一覧』18個|中学試験・高校受験対策の要点

石原伸晃氏「国民の不安、心のすきにつけ込み自分の人気取りに利用する総理の姿は、独裁者ヒトラーとどう違うのか」

累計15万台突破!値下げオフィスチェア メッシュ おしゃれ ハイバック コンパクト 腰楽 腰痛対応 ロッキング デスクチェア コンパクト パソコンチェア ワークチェア PCチェア メッシュチェアー…

最適化とガウス・ニュートン法の導出についてこの記事を書いた動機最適化とはガウス・ニュートン法の導出ガウス・ニュートン法によるモデルのパラメータ推定ライブラリの利用補足

Kamano (The TOM2 TIKTOK SONG) Fan Feed