
水 500ml 48本 ミネラルウォーター 天然水 送料無料 富士山の天然水 富士山の天然水500ml ラベルレス 天然水 バナジウム バナジウム含有 防災 備蓄 アイリスオーヤマ

高校生向け夏休み研究体験 / Simulation for High School Students

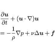
ナビエ‐ストークス方程式(読み)なびえすとーくすほうていしき(英語表記)Navier-Stokes equations

【1本47.5円〜!】水 天然水 500ml 48本 ラベルレス 備蓄水 お茶 緑茶 ミネラルウォーター 富士山の天然水 国産 富士山 ケース バナジウム バナジウム天然水 バナジウム含有…

【ふるさと納税】【配送方法が選べる】飲む温泉水 温泉水99 1.9L(通常便:計12~60本/定期便:12本×5〜12回 or 24本×5回・計60~144本)水 ミネラルウォーター 温泉水…

【ふるさと納税】【配送方法が選べる】ミネラルウォーター 水 500ml(通常便:25・40・50本 /定期便:25本or40本or50本×3〜6回・計75~300本) 天然アルカリ温泉水 財寶温泉…

Yahoo!知恵袋至急です!
この物理の問題解いてください!
1.力がした仕事は何Jか。
2.物体に加えた力Fの大きさは何Nか。
3.力が加わっているときの物体の加速度aは何m/s^2か。
4.力を加えた時間tは何秒
![い・ろ・は・す ラベルレス(560ml*48本セット)【いろはす(I LOHAS)】[水 ミネラルウォーター]](https://thumbnail.image.rakuten.co.jp/@0_mall/soukaidrink/cabinet/174/82174.jpg?_ex=300x300)
い・ろ・は・す ラベルレス(560ml*48本セット)【いろはす(I LOHAS)】[水 ミネラルウォーター]

【送料無料※一部地域除く】【48本】 水 500ml 蛍の郷の天然水 ミネラルウォーター 友桝飲料 ペットボトル 48本 2ケース

【1本あたり約47.3円★最安値に挑戦】水 ミネラルウォーター 彩水-あやみず- やさしい軟水 500ml 48本 送料無料 ペットボトル ラベルレス ライフドリンクカンパニー LIFEDRINK…

【ふるさと納税】 【定期便】 天然水 水 2L 3ヶ月~12ヶ月 選べる本数 6本 12本 サントリー 南アルプス ナチュラル ミネラルウォーター 定期便 白州 防災 備蓄 仕送りギフト h009

【ふるさと納税】【選べる定期便】<楽天限定>水想い 蔵王連峰の雪どけ天然水(ナチュラル ミネラルウォーター) ラベルレス 500ml×42本 2か月〜12か月 軟水 国産 アウトドア キャンプ…

ナビエ・ストークス方程式の表記違い流体力学を学ぶ人を悩ませるナビエ・ストークス方程式の表記の違いNomenclature参考資料背景最後に

【ふるさと納税】\発送時期が選べる/ 富士山蒼天の水 <ラベルレス> 500ml×96本(4ケース) 第1位 天然水 ミネラルウォーター 水 シリカ ランキング 防災 備蓄 高評価 人気 年内発送…

【ふるさと納税】水 2L 【定期便 あり】嬬恋の 天然水 ラベルレス ボトル 2L × 10本 入× 1~3箱 毎月 隔月 ミネラルウォーター 定期便 あり 飲料水 2000ml 2リットル 通販…

【ふるさと納税】 水 サントリー 天然水 南アルプス 2L 選べる本数 6本 12本 通常品 南アルプス 天然水 飲料 軟水 ミネラルウォーター サントリー ペットボトル ベビー 防災 キャンプ…

Waseda Research Institute for Science and Engineering早稲田大学 理工学術院総合研究所

数式を誰もが楽しめるアート作品に——
「数式のオンライン美術館」レポート
Physics As Art:加藤雅貴

【1ケース最安値に挑戦!】国産ミネラルウォーター 彩水-あやみず- やさしい軟水 500ml×24本 送料無料 ライフドリンクカンパニー LIFEDRINK 水 ラベルレス 天然水 飲料水 軟水…

【Python】流体シミュレーション : 非圧縮性 Navier-Stokes 方程式