
【39%OFF!10,120円 → 6,173円!】スパークリングワイン セット 辛口 ワインセット 泡 ワイン ギフト 箱 京橋ワイン 京橋わいん 9本 750ml 飲み比べ フランス 送料無料…

電気数学(シニアレベル)シリーズ d-book 関数の極大値極小値と多変数関数の微分

10/4〜10/9限定全品P3倍 【最強配送】【食いしんぼう祭 先着700円OFFクーポン対象】【最強配送】【送料無料】 アサヒ スーパードライ 350ml×2ケース/48本 YTR ビール 辛口…

f:id:hirotaka_hachiya:20170120224720p:plain

サントリー ビール ザ・プレミアム・モルツ(350ml*24本入)【ザ・プレミアム・モルツ(プレモル)】
![アサヒ スーパードライ 缶(350ml*48本セット)【アサヒ スーパードライ】[アサヒビール/ビール/スーパードライ]](https://thumbnail.image.rakuten.co.jp/@0_mall/soukaidrink/cabinet/557/62557.jpg?_ex=300x300)
アサヒ スーパードライ 缶(350ml*48本セット)【アサヒ スーパードライ】[アサヒビール/ビール/スーパードライ]

【 特別 送料無料 】 1本たったの598円(税込) 3大銘醸地入り 世界選りすぐり赤ワイン11本セット 第274弾【7784769】 | 金賞 飲み比べ ワイン ワインセット wine…

10/4〜10/9限定全品P3倍 【食いしんぼう祭 先着700円OFFクーポン対象】【最強配送】【送料無料】キリン 淡麗グリーンラベル 350ml×2ケース/48本 YTR ビール 発泡酒…

多変数の微分積分の講義ノートQ11. 2重積分を解く2014/07/07JaDocz.com

食いしんぼう祭対象! エントリー&条件達成で700円OFFクーポン配布中 10/17 9:59まで 送料無料 ブラック ニッカ クリア 4L 37度 4000ml×4本(1ケース)…

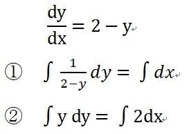
Yahoo!知恵袋基本的な微分方程式(変数分離形)について教えてください。

Yahoo!知恵袋多変数関数の微分の条件付き極値問題の答えが何度やっても合いません。
教えてください。
(2)の問題です

【食いしんぼう祭】キリン 一番搾り 一番しぼり 350ml 缶×48本送料無料 2ケース(48本) ビール 国産 キリン いちばん搾り 麒麟 缶ビール AIB

【100円クーポン 枚数限定】【最大3セット1,800円OFFクーポン使える】1本あたり549円(税込)~『当店最安値』スペイン産 スパークリングワイン プロヴェット スパークリング ブリュット…

200円オフクーポン 角 5L 1本 送料無料 食いしんぼう祭 サントリー 特製 ペット ウイスキー ウィスキー リキュール 業務用 40度 《北海道・沖縄は送料別途発生》 角瓶 自社出荷…

イチローズモルト MWR ミズナラウッドリザーブ リーフラベル 46度 700ml

【 送料無料 】 1本あたり749円(税込) 格上メドック&5冠金賞入り!フランス金賞赤ワイン12本セット 第104弾【7784094】 | 金賞受賞 飲み比べ ワイン ワインセット wine…

二変数関数u(x,t)を偏微分した時に①式にならない理由がわかりません 正解は②式だそうです なぜで

サントリー ビール ザ・プレミアム・モルツ 香るエール ジャパニーズエール(350ml*24本入)【ザ・プレミアム・モルツ(プレモル)】