
ノースリーブ ニット レディース トップス リブニット 深い vネック セクシー サマーニット カシュクール リブ編み 着痩せ 胸元 ショート丈 ダンス きれいめ 細見え 無地ピンク パープル…

【シークレットSALE開催】※LINE限定 セクシー下着 大きいサイズ ブラジャー y2バックストリング魅せる谷間Wワイヤーブラ&ショーツセットブラ ショーツ ブラジャー 大きいサイズ E70…

セクシー ランジェリー ブラ ショーツ セット オープン 穴あき エロ 下着 過激 マンホールブラ ノンワイヤーブラ セクシーランジェリ セクシ-ランジェリー 超過激 紐 大人 女性 レディース…

KarlyShop import スリップ キャミソール セクシー姫系 ワンピース ネグリジェ エレガント サテン ベビードール ペチコート 大きいサイズ 春夏秋冬 MLXL3L su960

【新規10%OFFクーポン有】セクシーランジェリー 大きいサイズ ベビードール 超過激 XL 3Lレディース セクシー ランジェリー 下着 セクシー 大きいサイズ セクシー コスチューム セクシー…

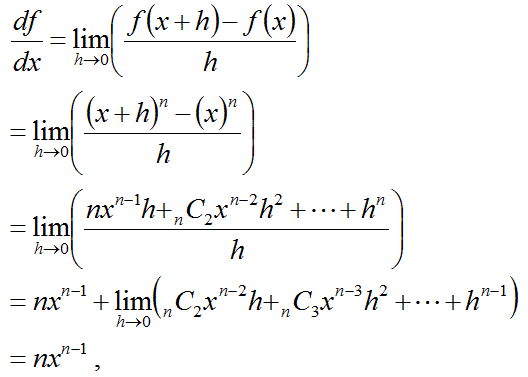
元材料研究者、統計学者を目指す 微分可能と連続的微分可能/滑らかな関数

ブラ ショーツ セット 丸見えブラ 「S M Lサイズ丸見え悩殺SEXYフルバスト オープンブラ & 穴あきショーツセット お花のレース」セクシー ランジェリー 下着 ハーフカップ オープンバスト…

レディース ノースリーブ スリム ワンピース ファスナー ミニ スカート ドレス 胸元 タイト 無地 タイト フィット セクシー リブ ストレッチ Vネック ジッパー 送料無料

至る所微分不可能な連続関数「高木関数」|爽籟蜜柑(そうらいみかん)|note #数学 #証明 #ノート#高木関数 #微分 #微分不可能 #連続関数 Bullet Journal, Notes, Report Cards, Notebook

【新規10%OFFクーポン有】マイクロビキニ マイクロ ビキニ セクシーランジェリー 超過激 セクシービキニ 極小ビキニ セクシー コスプレ セクシーランジェリー 水着 セクシー 可愛い…

ソフトマックス関数の微分softmax関数とは?softmax関数の微分

【新規10%OFFクーポン有】セクシーランジェリー 大きいサイズ セクシーランジェリー 過激 セクシーランジェリー ベビードール セクシー下着 エロ下着 ランジェリー ベビードールランジェリー…

【新規10%OFFクーポン有】ベビードール セクシーランジェリー ベビードール キャミソール ワンピース レディース セクシー 下着 大きいサイズ XL ランジェリー ルームウェア ナイトドレス…

活性化関数再考〜微分可能性〜TL;DRはじめに問題設定結果考察結論参考

【新規10%OFFクーポン有】セクシーランジェリー 超過激 穴あき 大きいサイズ セクシー ランジェリー 過激 ベビードール セクシー下着 エロ下着 ランジェリー ルームウェア 股割れ XL 2L…
![\快適&盛れる 3点セット/ ヴィーナスヌーディブラジャー&バック透けフルバックショーツ&ハーフバックショーツ [ レース dazzy 下着 ドロー 総レース ] [三上悠亜着用] [3点セット][setpt]](https://thumbnail.image.rakuten.co.jp/@0_mall/louise-bq/cabinet/dazzy/kq23000-thum8.jpg?_ex=300x300)
\快適&盛れる 3点セット/ ヴィーナスヌーディブラジャー&バック透けフルバックショーツ&ハーフバックショーツ [ レース dazzy 下着 ドロー 総レース ]…

【新規10%OFFクーポン有】セクシーランジェリー 大きいサイズ ブラ ショーツ 穴あき オープンブラ XL 3L 4L 超過激 セクシーランジェリー セクシー下着 エロ下着 ランジェリー…