
セキュリティ脅威と攻撃を過去問で知る_AP編 (118)TLS : Transport Layer Security

中が透けない 壁付き チェスト スリム/ワイド 幅34/54 奥行41.5/41.7 高さ66.1/86.1/106.1cm タンス 衣装ケース 収納ケース プラスチック 引き出し 洗面所 収納…

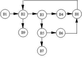
プレゼンテーション入門-因果関係を矢印で明示しようプレゼンテーション入門-因果関係を矢印で明示しよう

f:id:jinbarion7:20200714172445p:plain

【1点1,992円~ 2点購入&クーポンで】もこもこ毛布 ふわとろ ブランケット フランネル生地 洗濯機対応 軽量 マイクロファイバー 静電気防止 秋冬 プレゼント ギフト(T)【予約販売】

\begin{eqnarray*} x_{(1)},\quad ..., \; & x_{(k)},& \; ..., \quad x_{(n)} \\ && \\ \left( \; x_{(1)}\; \le ...\le \right & x_{(k)}& \left \le ...\le \; x_{(n)} \; \right) \end{eqnarray*}

中学受験:植木算の公式は忘れろ! “スキマ”と”植木”の対(つい)を作れ! | かるび勉強部屋

【10%offクーポン&P2倍 10/9 1:59マデ】 【新商品】 NERUS ふわとろ毛布 Air AirPremium 【正規品】 毛布 もこもこ毛布 ブランケット モコモコ…

【日本No.1受賞】ハグモッチ 正規品【さらに改善】【医師の92%推奨】20万人の眠りを変えた 枕 ふわもち 腰 肩 首 いびき防止 抱き枕 妊婦 誕生日プレゼント 人をダメにする クッション…

教科書の例 1 (p. 19) w 入力=人間の取る行動 – – 一人で(m) 狼と(w) 山羊と(g) キャベツと(c) MWGC-○

記号列の連接 w 連接(concatenation) : =2つの記号列をつなぐ演算 (例)dogとhouseの連接=doghouse w 演算記号 なし 記号列wとxの連接=wx w 単位元=ε εw=wε=w

【“5年連続”インテ寝具総合1位】確かな品質 「純」 高反発(R) マットレス エコテックス 10cm厚 3つ折り メッシュ/パイル 折りたたみ ベッドマットレス 10cm セミシングル シングル…

f[^x[XGW Hitachi Advanced Data BinderFTipsWF{2

【50%オフクーポン】即納 収納ボックス 収納ケース 折りたたみ 収納 ふた付き キャスター付き 5面開き 前開き 27L 40L 53L 82L 屋外 おしゃれ プラスチック 衣装ケース…

f:id:takehikoMultiply:20190903224430j:plain

【最大3500円OFFクーポン】 枕 枕カバー 付 ヒツジのいらない枕 ギフト 実用的 健康グッズ 誕生日 ギフト 洗える 通気性 寝用枕 うつぶせ寝 まくら ジェル 首 寝返り 横向き 仰向け…

ラグ 洗える 1畳 1.5畳 2畳 3畳 4畳 洗えるラグ おしゃれ 北欧 防ダニ 冬 床暖房対応 オールシーズン 滑り止め マット ラグマット カーペット ラグカーペット センターラグ 正方形…

【10/4 20時~10/10 23:59限定 P10倍】椅子脚カバー 椅子足カバー イス 脚キャップ 椅子脚キャップ 椅子 脚 カバー 丸形 長方形 正方形 傷防止 カンガルー カルガルー…

【10%offクーポン&P2倍 10/9 1:59マデ】 【ZIP!キテルネで紹介されました!】 毛布 NERUS 【正規品】 ふわとろ毛布 もこもこ毛布 ブランケット モコモコ とろとろ…

カラダネ(わかさ出版)医師や専門家とあなたをつなぐ、健康・食・くらしのセルフケアが見つかる情報サイト週末に脳活(物忘れ対策や認知症予防に伏せ字当てはめ言葉【第二弾】)

中学受験:植木算の公式は忘れろ! "スキマ"と"植木"の対(つい)を作れ! | かるび勉強部屋 Notes, Math Equations, Report Cards, Notebook

【P3倍★〜10/9 1:59迄】【一部カラー20%引!】 販売累計12万枚! ラグ 洗える シエロ ラグマット キルトラグ 絨毯 北欧 おしゃれ くすみ カーペット 95×130 130×190…

f:id:takehikoMultiply:20190903224420j:plain

~祝43万枚~突破 !! " LOVE & PEACE " ~ エアロシルク ~ Aero Silk ~\楽天上半期ランキング2025 2024ダブル受賞/月間MVP2冠!!/ シルク…

f:id:takehikoMultiply:20170629050302j:plain

【楽天1位】【メーカー公式店】【レビューでプレゼント】ゴミ箱 45リットル SOLOW ペダル タイプ 45L 35L 25L 13L オープンツイン ワイド ソロウ ふた付 カップボード下 棚下…

FAの例 2 (図 2. 2の定義式) even-even w M=(Q, Σ, δ, q 0, F) –