
【1000円OFFクーポン有】セクシーランジェリー 超過激 穴あき 大きいサイズ セクシー ランジェリー 過激 ベビードール セクシー下着 エロ下着 ランジェリー ルームウェア 股割れ XL 2L…

【1000円OFFクーポン有】マイクロビキニ マイクロ ビキニ セクシーランジェリー 超過激 セクシービキニ 極小ビキニ セクシー コスプレ セクシーランジェリー 水着 セクシー 可愛い…

【1000円OFFクーポン有】セクシーランジェリー 大きいサイズ セクシーランジェリー 過激 セクシーランジェリー ベビードール セクシー下着 エロ下着 ランジェリー ベビードールランジェリー…

数学協働プログラム「大自由度分子系における化学反応機序の理解と制御」_藤井

KarlyShop import スリップ キャミソール セクシー姫系 ワンピース ネグリジェ エレガント サテン ベビードール ペチコート 大きいサイズ 春夏秋冬 MLXL3L su960

【大学の物理化学】シュレディンガー方程式の導出過程について、わかりやすく解説!

今なら ポイント10倍 ! ブラ ショーツ セット 丸見えブラ 「S M Lサイズ丸見え悩殺SEXYフルバスト オープンブラ & 穴あきショーツセット お花のレース」セクシー ランジェリー 下着…

シキノート電磁場中の荷電粒子に対する非相対論的シュレーディンガー方程式から双極子近似まで 投稿ナビゲーション 人気のページPSO2のスクリーンショット= カタログ =スポンサーリンク※トップ絵ライセンスメタ情報アーカイブ最近のコメント

福C セクシー ショーツ スタンダード カシュクールレース プレーンショーツ(下着 パンティ パンツ かわいい パンティー 女性 レディース かわいい下着 可愛いショーツ 単品 レースショーツ…

シキノート電磁場中の荷電粒子に対する非相対論的シュレーディンガー方程式から双極子近似まで 投稿ナビゲーション 人気のページPSO2のスクリーンショット= カタログ =スポンサーリンク※トップ絵ライセンスメタ情報アーカイブ最近のコメント

【クーポンで1300円OFF!10日9:59まで】ブラジャー ショーツ セット サテン カシュクールレース脇高ブラ(R) ブラジャー&ショーツ(下着 レディース ブラ 女性 脇肉…

【100円OFF!!】セクシー ランジェリー ブラ ショーツ セット オープン 穴あき エロ 下着 過激 マンホールブラ ノンワイヤーブラ セクシーランジェリ セクシ-ランジェリー 超過激 紐…

【1000円OFFクーポン有】ストッキング タイツ セクシーランジェリー ガーターベルト 大きいサイズ XL 3L 4L 超過激 セクシー ニーハイ 7分丈 ストッキング 伸縮性 幅広レース…

【大学の物理化学】シュレディンガー方程式の導出過程について、わかりやすく解説!

レディース ノースリーブ スリム ワンピース ファスナー ミニ スカート ドレス 胸元 タイト 無地 タイト フィット セクシー リブ ストレッチ Vネック ジッパー 送料無料

ノースリーブ ニット レディース トップス リブニット 深い vネック セクシー サマーニット カシュクール リブ編み 着痩せ 胸元 ショート丈 ダンス きれいめ 細見え 無地ピンク パープル…

シキノート時間依存シュレーディンガー方程式の数値解法 クランク=ニコルソン法 投稿ナビゲーション 人気のページPSO2のスクリーンショット= カタログ =スポンサーリンク※トップ絵ライセンスメタ情報アーカイブ最近のコメント

【11日01:59まで!最大30%OFFクーポン】 レオタード ハイレグ セクシーランジェリー オープンクロッチ 透け透け エッチな下着 エロ下着 勝負下着 コスプレ 彼女 可愛い 過激 超過激…

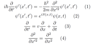
Yahoo!知恵袋シュレーディンガー方程式のガリレイ変換について教えて下さい。x軸方向に速度vで動く座標系x', t'を取った時、シュレーディンガー方程式の偏微分を式(3)(4)、波動関数を(2)とおいて、式(1)に代入し、

競技プログラミングでの線型方程式系 競技プログラミングでの線型方程式系

【1000円OFFクーポン有】ベビードール セクシーランジェリー セット セクシー ランジェリー レディース ベビードール キャミソール 超過激 可愛い ベビードール 大きいサイズ ベビードール…