
中が透けない 壁付き チェスト スリム/ワイド 幅34/54 奥行41.5/41.7 高さ66.1/86.1/106.1cm タンス 衣装ケース 収納ケース プラスチック 引き出し 洗面所 収納…

【日本No.1受賞】ハグモッチ 正規品【さらに改善】【医師の92%推奨】30万人の眠りを変えた 枕 ふわもち 腰 肩 首 いびき防止 抱き枕 妊婦 誕生日プレゼント 人をダメにする クッション…

【スーパーSALE期間73%OFF 12/4 20時〜】ラグマット 厚手 極厚25mm 2畳 3畳 洗える フランネル 防音 滑り止め付 床暖房 ホットカーペット対応 こたつ 対応 高反発ラグ…
![[SS限定]全品5%OFFクーポン 【新商品】 NERUS ふわとろ毛布 Air AirPremium 【正規品】 毛布 ブランケット もこもこ毛布 モコモコ とろとろ ふわふわ シングル セミダブル ダブル ハーフ ふわもこ ふわとろ ポコポコ ひざ掛け 2枚合わせ 6層 厚手 秋冬 Branchpoint](https://thumbnail.image.rakuten.co.jp/@0_mall/t-interior/cabinet/item/usual/htc50_bp2.jpg?_ex=300x300)
[SS限定]全品5%OFFクーポン 【新商品】 NERUS ふわとろ毛布 Air AirPremium 【正規品】 毛布 ブランケット もこもこ毛布 モコモコ とろとろ ふわふわ シングル…

【P10倍 12/11 9:59迄】 中が透けない 壁付き チェスト 専用 ズレない 天板 水に強い 耐荷重10kg チェスト用 収納ケース用 収納ボックス用 シェルフ 棚 【天板のみ…

ラグ 洗える 1畳 1.5畳 2畳 3畳 4畳 洗えるラグ おしゃれ 北欧 防ダニ 冬 床暖房対応 オールシーズン 滑り止め マット ラグマット カーペット ラグカーペット センターラグ 正方形…

【LIVEエントリーP5倍】 【“5年連続”インテ寝具総合1位】確かな品質 「純」 高反発(R) 〈全部洗える〉 マットレス 10cm厚 3つ折り 折りたたみ ベッドマットレス 10cm…

\セミダブルが60%OFFクーポンで2,752円!数量限定/高品質 毛布 ふわとろ毛布 ひざ掛け ブランケット 寒さ対策 もこもこ モコモコ とろとろ ふわふわ ハーフ シングル セミダブル…

【半額以下★更に3点目50%クーポン】\楽天1位&8万枚突破/ 掛け布団 シングル 布団 冬 羽毛布団のように 暖かい シングル 掛け布団 ダブル セミダブル 掛け布団 冬用 シンサレート…

女子高生と学ぶHSAB則(硬い/柔らかい酸塩基):ハードやソフトな反応性とは? HSAB理論を浅~~く捉えよう

★楽天スーパーSALE限定最大16%OFF★~11日1:59!見逃し厳禁★掛け布団 洗える 布団 シングル セミダブル ダブル シンサレート 暖かい 洗濯 丸洗い 軽量 軽い 冬 冬用 冬掛け布団…

【楽天スーパーSALE】半額【送料無料】 和楽ローコーナーソファ WARAKU 3点セット 和楽の星a847

【楽天スーパーSALE55%OFF】マットレス シングル 三つ折り150N/190N/230N硬め寝心地 折りたたみ 敷布団セミダブル ダブル セミシングル 厚み10cm 敷布団 高反発マットレス…

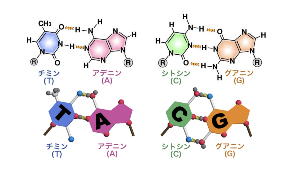
【nucleotide polymorphisms】に関するの例文(英語の例文と和訳)

【★ポイント3倍&200円OFFクーポン】【一部カラー20%引!】 販売累計12.9万枚! ラグ 洗える シエロ ラグマット キルトラグ 絨毯 北欧 おしゃれ くすみ カーペット 95×130…

Yahoo!知恵袋核酸の塩基について核酸は4つの塩基(ADGC)から成っているとのことですが、